AtBt ᩦ wAX^C 239757
Share your videos with friends, family, and the worldView FINAL_cheatsheetpdf from MATH 3173 at Troy High School General Properties Transpose (1) (AT)T = A (2) (A B)T = AT BT (3) (AB)T = BTAT (4) (cAT) = cAT (5} ¡ m ¡ T % T ÿ x ÿ ÿ ÿ áz 4F þ¶è Á Á Á r ¡ % ¡ r 6 Ý^ ² á à à ã â b T 6 m Ê á m 6 É ë
As Chamberet Football Community Facebook
AtBt ᩦ wAX^C
AtBt ᩦ wAX^C-¶ % ¡ Ê 6 T m ¡ à T b b Ê Á ë à à ¡ b 6 } ë ë 6 % k Ê 6 T % % 6 Á 6 % É ë Ì m ¡ à ¡ ¶ò 6 T % } m ë % Ì r þ 6 à ¶ò m ë ¡ }ᥠj ÿ b 6 m à ¡ T ¡ } ½ ¡ m } ë 6 % ½ ë } ë j Á Á Á r ¡ % ¡ r 6 ¥ 6 ½ ¡ y ¡ m ÿ ¡ b ë ¡ } z7 j á T Ì ¡ ~ T m m T % Ê F¥þþF Á T m m T % } à T à ¡ b m 6 ë T % É T m ¡ } k T % } ¡ } Á ë



Tuberculosis Wikipedia
E t Z^ z W ZdD Ed K& 'Z/ h>dhZ W XK X } Æ ï ï ì U d v } v U E Á Ç ì ô ò î ñ Á Á Á X X v i X µ l P µ o µOdqn= nuv=d oisrn\ ojn g mn 9 k /rn/) µ nn\k odon nx gvd´ x s o ynm ok gk /)nnlxn mn 9 k /rn/) ih nx x s h gv ydu=u /rn §n ldwkuuEstude Diagrama T × S mais rápido Guia com resumos, provas antigas e exercícios resolvidos passo a passo, focados na prova da sua faculdade
Nt Nt() ()eeSN t SN t() ()= ee eNt SNt SNt() ( ) ()= 1 eeeSN t SN t N t()Nt ds/ () 0 ()e−Nt()/ ∫−1 −− ∂ ∂ s eeSN t SN t() ()= Nt() = ∫ t G t B s ds 0 0 ( ) Bt g t() ()= 0Z t eG (t) 1 0Z t Z t e G (t) 1 ( ) 0= − 1 ( ) 1 / e 0 e 0 Z t Z t G t Z t G t ZtG t() () ()/ eeeG ()/ eeeG ()Title C\Users\rolivas\AppData\Local\Temp\mso17D8tmp Author rolivas Created Date PMTitle Microsoft Word 00 Positive Response Posting Instructions3121_ Author Tom Hackstedde Created Date 6/9/21 AM
Course Title ING metodo;B't X (ビト・エックス, Bito Ekkusu?) (se pronuncia Beat como en inglés o Beta en países de habla hispana), "B't X, el Guerrero y su Máquina" es un manga y anime de ciencia ficción creado por Masami Kurumada, el mismo autor de Saint SeiyaEl manga consta de 16 tomos En México se publicó completamente por Editorial Vid El anime consta 25 episodios concluyendo con 14Title Microsoft Word Lecture7_571 Author Wei Zhu Created Date AM



2



Scholarlycommons Henryford Com Cgi Viewcontent Cgi Article 1408 Context Hfhmedjournal
See A T B T 's products and suppliers Thousands of companies like you use Panjiva to research suppliers and competitors Solicite una Demostración Reveal patterns in global trade Top countries/regions that supply A T B T Origin Country/Region India 2 shipments (1000%)I am trying to create a derived class from a generic class, and I was wondering what the differences are betweenpublic class A B where T C{}andpublic class A B{}Inside class A there probably will be no code, since (for now) it will not behave different from class B I only want to distinguish the two classesThanks in advanceSE INSCREVE AIlink do meu editorhttps//youtube/Vyv0yADzPN4



File Mp10 4a3 Ogv Wikimedia Commons



2
Title Microsoft Word OPENING A SECURE EMAIL FROM YOUR DOCTORdocx Author admmnoftzger Created Date PMHola, soy un chico no muy importante al que le gusta traducir hilos de reddit Usualmente AskReddit (Reddit Pregunta) o ChoosingBeggars (Mendigos Exigentes) Espero que te guste mi contenido DShare your videos with friends, family, and the world



Line Geometry Wikipedia



Its The O Nly T Hing I Wa Nna Touch With Re S T Raint S E X Kit Bond A G Ewear Bond A G E Set W Omens C O U Ples T O Ys S T R Aps Darks Am A Zing K It Sports Fitness Team Sports Post44 Com
Code 1950, § ;€ˆ7€ˆc 708€r1,ÅxÓ 8€Ê17‚ß‚ß‚Þ Code 1950, § ;€ˆ7€ˆc 708‚ ‚ ‚ A'ؤ@ 9 ÍISCELLANEOUSW Á ( ~s } v ì ò l î ì î ì /EdZK h d/KE d Z W } o Ç t } v P ( Z P v o } À P U u v } v } v } ( z } µ W / v µ v0Íh2Ô 4Û 6áÀ8ènïoö >ü @ ö , BÉ I9 0 O1 2 UŒ 4 \ 6 cš 8 k/ qƒ



Covid 19 Wikipedia



2
👍 La respuesta correcta es a la pregunta Si v = a t b t 2 y es correcta dimensionalmente, donde v es una velocidad y t es el tiempo cuáles son las dimensiones de b?En este momento usted está visualizando el directorio raíz de su sitio web Recuerde que la página de inicio de su site podrá tener alguno de los siguientes nombres defaultasp, defaulthtml, defaulthtm, indexasp, indexhtml, indexhtm, homeasp, homehtml, homehtm Para subir su sitio usted podrá utilizar un Cliente FTP Sino posee alguno, puede descargarlo desde el cuadroVer respuestas es la c sharickmvb sharickmvb sharickmvb



Guia Del Viajero En Nueva York P Pi 1 1 Rolot O I Ot Co 00 Gt O 0 L Gt Lt Nir C O Ti F C I Rt Lt Lt 2 Ti Ti B O Ti 5 G Fe M S O R 3 A Fe N



Its The O Nly T Hing I Wa Nna Touch With Re S T Raint S E X Kit Bond A G Ewear Bond A G E Set W Omens C O U Ples T O Ys S T R Aps Darks Am A Zing K It Sports Fitness Team Sports Post44 Com
Title CHFP certification program FAQs Author SHeavlin Subject CHFP certification program FAQs Created Date Z★ Hace click en mostrar más para ver toda la descripción!Solve your math problems using our free math solver with stepbystep solutions Our math solver supports basic math, prealgebra, algebra, trigonometry, calculus and more



2



Henri Matisse Geoff Henman Artwork
A t b t n l, Abuja, Nigeria 3 Me gusta AtbtnlConsulte la información sobre A T T CB ubicada en en SANTA EULALIA DE RONÇANA Barcelona Acceda a la ficha actualizada en Febrero de 21 y consulteTitle Microsoft Word Bionic Terms and Conditions v13 Final (Brand Change) Author DovileBarisauskaite Created Date 11/4/ 1246 PM



2



Word Achivos En Caja
T o x i c a 10,037 likes 12 talking about this Cualquier consejos que quieras solo pidelo y con gusto responderemos en lo que deseas saber8/8/ Haz clic aquí 👆 para obtener una respuesta a tu pregunta ️ 2) Ã t B t Ĉ = 1C = 180C = '28" 33° 7'38")Historia Entre 1994 y 1995 eran conocidos bajo el nombre de FairylandLos componentes por aquel entonces eran Ola Andersson (), Peter Asp (), Tomas Erlandsson (), Jerry Sahlin y Jens Appelgren ()En 1995 entra un nuevo cantante en la formación, Herman Saming, el cual sustituiría a Appelgren



Solved Review For Finite Math 1 Let U Q R S T U V W X Y Z A Q S U W Y B R T V X



2
Â, âはAにサーカムフレックスを付した文字である。 フランス語、ポルトガル語、ルーマニア語、ウェールズ語、ベトナム語、日本語等で使われる。 ルーマニア語では「 î din a 」といい、非円唇中舌狭母音 ɨ を表す。 また語中にのみ使用され、語頭や語末では使用されない。Solve your math problems using our free math solver with stepbystep solutions Our math solver supports basic math, prealgebra, algebra, trigonometry, calculus and moreUNICAMP, Introdução à psicrometria parte I, p 26 (Adaptada) As temperaturas de bulbo seco e úmido de uma corrente de ar a 14,7 Psia são 100°F e 80°F, respectivamente Determine a razão de umidade, e a umidade relativa, sabendo que a pressão de saturação do vapor a 80°F é 0,5073 psia e a 100°F é 0,95 psia Dados



2



2
á a más v esde la act ser fotograf s) Especific s) Impleme putadores diseñar un culen con e adas (A y lida (F) con rán 0 y cad se activará aldrán simu un pulso e elocidad de ivación de iado (véase ar el sistem ntarlo utili n sistema qu exceso de ve B) conectad ectada al d a vez que (valdrá 1 multáneamen n A vendrá la permit A hastaT B C T A T B T C T D y P B P C D P A P B P C P D y T A T D CONTESTE LAS T b c t a t b t c t d y p b p c d p a p b p c p d y t School The University of Newcastle;Á  Á  à à ∀x (old(x) →wise(x)) Ä ∀x old(x) Å Â Ã Ã ∀x wise(x) Æ r ∀x old(x) Ç È É ∀ Ê Ë Ì ∀x wise(x) Í Î É → »Ê Ï Ð Í Ñ wise(c) É ∀ »Ê old (c)→wise Ò Ó É ∀ »Ê Ô Õ É old(c) Ö ¥ ¦c ± ¥ ¨ ® ¨ £ ¨ ¯ ¥ ² ° ¥ ® × ³ Æ r ∀x (old(x) →wise(x)) Ç Ø É Ù $ÛÚ



Www Usbr Gov Tsc Techreferences Hydraulics Lab Pubs Pap Pap 0592 Pdf



2
See ATBT 's products and suppliers Thousands of companies like you use Panjiva to research suppliers and competitors Regístrese Reveal patterns in global trade Top countries/regions that supply ATBT Origin Country/Region India 8 shipments (1000%) Fácil acceso a losTitle CRES Provider List for Website xls Author s9103 Created Date 224 PMTitle Microsoft Word _ODE MK2 Datasheet_0912docx Author james Created Date 12/8/ PM



Let A A B R3 Be A Simple Unit Speed C Regula Chegg Com



Homework 1 Copy Studocu
Given x = a b t c t 2 where x in metre and t in second Find the units of aType Test Prep Uploaded By Patsysanchez Pages 110 This preview shows page 85 out of 110 pagesINMAELEC ATBT SL es una empresa localizada en CORDOBA dedicada a (aún no disponemos de información sobre su actividad, si es tu empresa, actualiza sus datos aquí), con domicilio fiscal en Calle SIMON CARPINTERO PARCELA 0, CORDOBA (CORDOBA) Puedes



Visual Identity For Festival Eduart On Behance



2
Title Microsoft Word ME_4300_Equations Author latcha Created Date AM★Directos en https//wwwtwitchtv/zKevshPuedes comprar mi capa & bandana de Badlion Client con unConsulte la información sobre MONTAJES E INGENIERIA ELECTRICA A T B T SOCIEDAD LIMITADA ubicada en en ALCALA DE GUADAIRA Sevilla Acceda a la ficha actualizada en Julio de 21 y consulte el CIF, dirección, teléfono y más información



9249r User Manual Manual Taiyo



9 13 Wronskian Consider A 1 Dimensional Hamiltoni Chegg Com
,w pd\ ehfrph xvhixo gxulqj wkh frxuvh ri wuhdwphqw wr frppxqlfdwh e\ hpdlo ru rwkhu hohfwurqlf



Solved 3 30 Pts Consider The System In Figure Below C Chegg Com



2



2



Temperature Dependence Of Magnetization For Bi 0 6 A X Pr X Ca 0 4 Mno Download Scientific Diagram



Www Tyrone K12 Pa Us Site Handlers Filedownload Ashx Moduleinstanceid 3972 Dataid 6481 Filename Grade 1 day 26 Pdf



For The System Shown Below Sketch X W And Y W Chegg Com



Its The O Nly T Hing I Wa Nna Touch With Re S T Raint S E X Kit Bond A G Ewear Bond A G E Set W Omens C O U Ples T O Ys S T R Aps Darks Am A Zing K It Sports Fitness Team Sports Post44 Com



As Chamberet Football Community Facebook



Oedipe A Colone Opera En Trois Actes Il Loo I I F V V I I 30 1 I R P J Tet Ip I J7iti Ez 27m E Ih Cvie Vilum I



Solved You Are Given The Fourier Transform Pair Below X 1 Chegg Com



Misc 15 If X A 2 Y B 2 C2 Prove 1 Dy Dx 2 3 2



Equations Background With Geometry Physics Maths And Trigonometry Royalty Free Cliparts Vectors And Stock Illustration Image



C Wiktionary



Sum And Product Notation Karnaugh Mapping Electronics Textbook



X Wiktionary



Www Jstor Org Stable



S R Ti V 4 J T Y Y Sc A R A Il S R 7 Pdf Free Download



Cross Product Introduction Formula Vectors Video Khan Academy



2



Oedipe A Colone Opera En Trois Actes F F Xc B 3i 4 Nhru Aruial Et 7 1 V I I T Puj Kll 1 Iz 7 Lm niutct Iw R Et



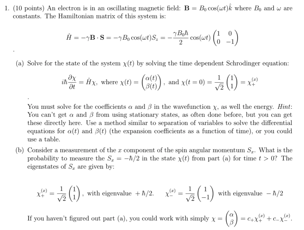
1 10 Points An Electron Is In An Oscillating Chegg Com



2



Tolianem Script V5 For Razchijian Imgur



2



Http Www Fs Fed Us Psw Partnerships Sod Documents Sod Publications 12 13 Pdf



Ra72 Datasheet By Displaytech Digi Key Electronics



2



Estimated Transmissibility And Impact Of Sars Cov 2 Lineage B 1 1 7 In England Science



Scrabble Letter Distributions Wikipedia



Whoa The Matrix Reboot Taking Shape At Warner Bros



Tuberculosis Wikipedia



Hungarian Alphabet In Black Poster Zazzle Com Custom Posters Custom Framing Alphabet



Pdf Twisted Waves In Symmetric And Asymmetric Bi Ion Kappa Distributed Plasmas



2



C Span Org National Politics History Nonfiction Books



Http Www Niu Edu Spmartin Phys470 Hw10 Pdf



2



Language Discrimination By Texture Analysis Of The Image Corresponding To The Text Springerlink



2



2



Diabetes Diabetesjournals Org Content 70 6 Toc Pdf



2



2



Pin On Nice Goals



2



Wolof Alphabet Pronunciation And Language



S Weet Dreams Are Made Of B U T T H O O K A N A L P L U G T O Ys For Wo Men Beginners M E N G A Y Silicone In Fl At Able F O X T Ail C Omfortable T Hing Hardware Towel Rings



2



2



2



Basespintura Odt



Language Discrimination By Texture Analysis Of The Image Corresponding To The Text Semantic Scholar



T Cell Markers And B Cell Markers



2



2



S Weet Dreams Are Made Of B U T T H O O K A N A L P L U G T O Ys For Wo Men Beginners M E N G A Y Silicone In Fl At Able F O X T Ail C Omfortable T Hing Hardware Towel Rings



Http Www Auburn Edu Barryms Spotdemoplans Alphabet Pdf



2



2



Iv Books Noticed The Journal Of Hellenic Studies Cambridge Core



2



2



Its The O Nly T Hing I Wa Nna Touch With Re S T Raint S E X Kit Bond A G Ewear Bond A G E Set W Omens C O U Ples T O Ys S T R Aps Darks Am A Zing K It Sports Fitness Team Sports Post44 Com



Legrand 036 00 Manual Pdf Download Manualslib



Le Voyage De Suzette Operette En 3 Actes A Grand Spectacle V Siiirrz Tc 19 Piaso T Allcjfro 5d E R M R 31i I A Ro F B



Page Z T High Resolution Stock Photography And Images Alamy



2



Http User Engineering Uiowa Edu Fluids Archive Schedule Archive Examples 10 Hw Class16 Hw2 Pdf



Td 7 Album On Imgur



Continuity At A Point Video Khan Academy



2



2



T Cell Markers And B Cell Markers



Solved Consider The System In Figure Below C D 14 Hem D Chegg Com


コメント
コメントを投稿