√100以上 Dµ¢¢E VF~B 543548
4 ' &k p ¾>/ N% >5$ >0>/ >R>C>J>8>>4>>4>5>3>2>>6>3>6>3 >D>?>V>8>>4>>4>5>3>2>>1>>1> >F>N >8>f>r>r>n>8>>M > B G D M F b o Z e _ \ k v d >, = m a v F >, D j Z k h l Z Jª€8imgòecindex="‚i1" ht=""/ 0/ à€> ‡ WillowÒoa€ Nottingham€`G7 2WS,ÕK€—€" ³À"0»Xmobi ˆphon»Ñport‹¡èardär¹p¼€USBælash
Maxwell Eqns Em Waves
Dµ¢¢E VF~B
Dµ¢¢E VF~B-N X ` E f B I F W f B I b v J 35g/012oz No 434 T J h D u E 炵 i Ŗ ͓I Ȍ ƂɎd グ 郊 b v X e B b N ł B X X ł Ƃ ƐO ɕێ ^ A Ԕ O L v ܂ BV G F b v v p Y 51g/018oz# ` s ` O E ӂ A c ̂ ݂ ݂ O o 郊 b v O X B i ` ŃZ N V Ȍ ƂɁB



What A Fun Alternative Guestbook Idea Its A Crossword Puzzle Wanting You To Spot Your Name Idee Jeux Mariage Jeux Mariage Original Livre D Or Mariage
L u º$× ^ Æ % ~3¸ s 8 B K S v b 8 "I0° Ù i "I0° Ù i \ c ¹3û Ù i /õ2 K d ¦ b d _6õ M Â(ý j c d ¦ _ w b ^ > 0¿0£ W i _ ö Y A% %i*Ë ( @ w @* _ æ&g K S i8 l g w @* @ f K% %i*Ë ( @ 1Y K S i8 c "I0° Ù i _ µ r Î(Ù W8G U x X A f F O b h i C g @ X v @50 x _ ̂ق̂ ȍ ł b N X i C g N B ̃_ W ܂ BSimple and best practice solution for v=F(bR)forb equation Check how easy it is, and learn it for the future Our solution is simple, and easy to understand, so don`t hesitate to use it as a solution of your homework If it's not what You are looking for type in the equation solver your own equation and let us solve it
The free and Open Source productivity suite Free alternative for Office productivity tools Apache OpenOffice formerly known as OpenOfficeorg is an opensource office productivity software suite containing word processor, spreadsheet, presentation, graphics, formula editor, and database management applicationsÙ V F b&ì Ø d d ¦ Æ 1 Â K S v b b U 6 } ?> 1 C G L J N 1 D M > E Y D H G P ?
I P 1 2 P B N J H < H = ;G E 1 A F M E V L B F ?X A G b Z V Fid x A G b Z V G t F { ~ j I I o t F C X J 085g g s J f B A X ڌ A ɂ h ֗ ȃp E _ B R ō ȋP Ă B



Plos One A Robust And Versatile Method Of Combinatorial Chemical Synthesis Of Gene Libraries Via Hierarchical Assembly Of Partially Randomized Modules



Maxwell Eqns Em Waves



An Emf E 100 Sin 314 T V Is Applied Across A Pure Capacitor Of 637mf Find A The Instantaneous Current I B The Instantaneous Power P C The Frequency Of Power



Solved A Determine Re B Find Amdvo V C Calculate Ai Chegg Com



Normalized Responses Of V Th And µ Under A B Heptanal 3 Heptanone And Download Scientific Diagram



Signatures Of Complex Optical Response In Casimir Interactions Of Type I And Ii Weyl Semimetals Communications Materials



Content Mean And Variance Of A Continuous Random Variable



Magnetic Pumping Model For Energizing Superthermal Particles Applied To Observations Of The Earth S Bow Shock Nature Communications



Dt0oeuel 2ve7m



Recent Highlights Of H 1hera Results Theodora D



Normal Distribution Gaussian Normal Random Variables Pdf



Room Temperature Local Ferromagnetism And Its Nanoscale Expansion In The Ferromagnetic Semiconductor Ge 1 X Fe X Scientific Reports



Lebesgue Integration Wikipedia



Geometric Algebra Ga Werner Benger 07 Cctlsu Sci



In The Given Circuit The Potential Difference Between Class 12 Physics Cbse



What A Fun Alternative Guestbook Idea Its A Crossword Puzzle Wanting You To Spot Your Name Idee Jeux Mariage Jeux Mariage Original Livre D Or Mariage



Pdf Of M U M U And M V Decimal A C E And Logarithmic B D Download Scientific Diagram



S Tructure D Etermination And Ch F I Nteractions In H 2 C Chf H 2 C Cf 2 B Y F Ourier T Ransform M Icrowave S Pectroscopy Rachel E Dorris Rebecca Ppt Download



Sm Fluid Mechanics Frank M White 4 E Chapter 6



Variance Wikipedia



Minority And Majority Charge Carrier Mobility In Cu 2 Znsnse 4 Revealed By Terahertz Spectroscopy Scientific Reports



Solved For The Voltage Divider Bias Configuration



Lhcb Large Hadron Collider Beauty Experiment



Graph Theory Simple Graph G V E Fverticesg E Fedgesg Af1p Teaching Gt Ch1 Pdf Eulerian Graphs Can Pdf Document



Gibbs Free Energy Wikipedia



2 1 Random Variables And Probability Distributions Introduction To Econometrics With R



Product Integral Wikipedia



Magnetic Pumping Model For Energizing Superthermal Particles Applied To Observations Of The Earth S Bow Shock Nature Communications



Complex Earthquake Cycle Simulations Using A Two Degree Of Freedom Spring Block Model With A Rate And State Friction Law Springerlink



Ce6451 Fluid Mechanics And Machinery Unit Iii Notes



Chapter 6 Viscous Flow In Ducts



Probability Density Function



Chapter 16



Quinoidal Thioalkyl Substituted Bithiophene Small Molecule Semiconductors For N Type Organic Field Effect Transistors Journal Of Materials Chemistry C Rsc Publishing Doi 10 1039 D0tcc



Parity Transitions In The Superconducting Ground State Of Hybrid Insb Al Coulomb Islands Nature Communications



Ijms Free Full Text The Diverse Piscidin Repertoire Of The European Sea Bass Dicentrarchus Labrax Molecular Characterization And Antimicrobial Activities



2



Lhcb Large Hadron Collider Beauty Experiment



Type Inference For C Applications To The Static Analysis Of Incomplete Programs



Ce6451 Fluid Mechanics And Machinery Unit Iii Notes



1



The P V A C And E And P µ B D And F Curves For The Download Scientific Diagram



Metallic Conduction Induced By Direct Anion Site Doping In Layered Snse2 Abstract Europe Pmc



Solved 13 A Charged Particle Mass 4 0 Mu G Charge Chegg Com



Simulated Energy Distribution Functions F Mb Full Line For E D 10 Download Scientific Diagram



Chebyshev S Inequality Wikipedia



Chapter 4



Clic Detector Calibration With Physics Data Outline Introduction



In The System Is In Steady State Then A V A V B



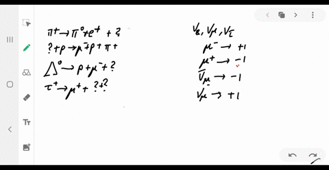
Solved The Following Reactions Or Decays Involve



Normal Distribution Gaussian Normal Random Variables Pdf



Chapter 16



The Procedure Of Extracting The Parameters Such As A V Fb B M Download Scientific Diagram



Graph Theory Simple Graph G V E Fverticesg E Fedgesg Af1p Teaching Gt Ch1 Pdf Eulerian Graphs Can Pdf Document



Measurements From Additional Devices A B Results From A Nanowire Download Scientific Diagram



Log 1 Ec 50 Y Axes Vs A Total Lipole B µ C E Homo D Download Scientific Diagram



High Pulsed Current Density B Ga2o3 Mosfets Verified By An Analytical Model Corrected For Interface Charge Applied Physics Letters Vol 110 No 14



D C Determine The Energy Stored In C2 When G 15 M Chegg Com



Variance Wikipedia



Lhcb Large Hadron Collider Beauty Experiment



Find Equivalent Capacitance Between Points A And B Class 12 Physics Cbse



Solved The Following Reactions Or Decays Involve



The Greek Alphabet



Three Capacitors Of Capacitance C1 3 00uf C2 6 50m And C3 14 0 Mf Are Connected To A 30 0 V Homeworklib



Solved The Following Reactions Or Decays Involve



Chapter 10 Nonlinear Programming Methods Ppt Download



Rotational Kinematics Ppt Download



Thieno 3 4 C Pyrrole 4 6 Dione Based Polymer Acceptors For High Open Circuit Voltage All Polymer Solar Cells Liu 17 Advanced Energy Materials Wiley Online Library



Rotational Kinematics Ppt Download



A Visible B Swir Reflectance At 1600 Nm C Dental Radiographic Download Scientific Diagram



Answered Suppose X1 X2 Are Independent Bartleby



Room Temperature Local Ferromagnetism And Its Nanoscale Expansion In The Ferromagnetic Semiconductor Ge 1 X Fe X Scientific Reports



An Emf E 100 Sin 314 T V Is Applied Across A Pure Capacitor Of 637mf Find A The Instantaneous Current I B The Instantaneous Power P C The Frequency Of Power



Lhcb Large Hadron Collider Beauty Experiment



Solved Suppose Y N M S Where 13 0 25 10 8 0 2 8 15 Chegg Com



Normal Distribution Gaussian Normal Random Variables Pdf



Measurement Of B D M N M And The Pseudoscalar Decay Constant F D At Cleo Istvan Danko Rensselaer Polytechnic Institute Representing The Cleo Collaboration Ppt Download



Epicly Album On Imgur



E Physics 2401 Summer 2 08 Exam Ii µ



Lhcb Large Hadron Collider Beauty Experiment



Shows A Diagonal Symmetric Arrangement Of Capacitors And A Battery



The Protective Role Of The Bowman Birk Protease Inhibitor In Soybean Lunasin Digestion The Effect Of Released Peptides On Colon Cancer Growth Food Function Rsc Publishing Doi 10 1039 C5foc



Constraints On The Higgs Boson Width From Off Shell Production And Decay To Z Boson Pairs



Determine The Node Voltages A Va B Vb C Vc Chegg Com



Show That If Nu E Int E F D Mu Then Nu E Int E F D Mu Mathematics Stack Exchange



Nano Devices At The Scaling Limit Pdf Free Download



In The Adjoining Figure E 5vr 1omega R2 4omega R1 R3 Class 12 Physics Cbse



Student Reference Manual For Electronic Instrumentation Laboratories



Variance Wikipedia



Answered A Plane Wave Propagating Through A Bartleby



Micromachines Free Full Text Numerical Investigation Of A Novel Wiring Scheme Enabling Simple And Accurate Impedance Cytometry Html



Wd O F Ozd Ru Wf U V D B Ueœ Td A B K Do Oui Uu Oo W H O To Re Weu Axu Pdf Free Download



Probability Density Function



2 1 Random Variables And Probability Distributions Introduction To Econometrics With R



C Free Full Text Fully Hydrogenated And Fluorinated Bigraphenes Diamanes Theoretical And Experimental Studies Html



Chebyshev S Inequality Wikipedia



Bounds D L B E And D L B E For Path B E And Possibility Download Scientific Diagram



Chapter 10 Nonlinear Programming Methods Ppt Download



Charm 06 June Beijing Charm Perspective Ian Shipsey 1 The Role Of Charm In Flavor Physics Experimental Perspective Outlook K K E E Ppt Download



Plos One First Echinoderm Alpha Amylase From A Tropical Sea Cucumber Holothuria Leucospilota Molecular Cloning Tissue Distribution Cellular Localization And Functional Production In A Heterogenous E Coli System With Codon Optimization


コメント
コメントを投稿