コンプリート! LL wA Ob^[ 146095-M.a.l.l.o.w.s bay morecambe
Explore Anna G's board "H A L L W A Y" on See more ideas about interior, house design, house interiorH ttp / / s h o p h o b b i i s e / k a w a i i c i tr o n s k a l l r a Hobbii Friends Super Cute Design Copyright © 19 Alla rättigheter reserveradeHolen Sie sich effizientes und modisches d o u b l e w eine l l w a t e r b o t t l bei Alibabacom und genießen Sie Ihre Getränke überall mit Stil Diese d o u b l e w eine l l w a t e r b o t t l bieten verlockende UsabilityFunktionen
L O V E W I L L A L W A Y S
M.a.l.l.o.w.s bay morecambe
M.a.l.l.o.w.s bay morecambe-Pak efficiënt en modieus d o u b l e w een l l w a t e r b o t t l op Alibabacom en geniet overal in stijl van uw drankjes Deze d o u b l e w een l l w a t e r b o t t l worden geleverd met aantrekkelijke gebruiksfunctiesHighquality A W O L throw blankets designed and sold by independent artists Available in three sizes Perfect for your couch, chair, or bed It's all nappening



Raman Spectroscopy Enables Non Invasive Identification Of Peanut Genotypes And Value Added Traits Scientific Reports
World War II postal acronyms were first used to convey messages between servicemen and their sweethearts back home They were usually written on the back of an envelope The acronyms, possibly including some more recent additions, includeW i t h o r w i t h o u t n ot i ce T h e O w n e r s h a l l h ave n o le g a l co m m it m ent o r o b l i g at io n to a ny entit y rev iew in g th e O e r in g B ro c hu re M a r s h m e l l o w y ~ O B KwirkyKiwi 249 Follow Unfollow 3px arm (Slim) Background M a r s h m e l l o w y ~ O B KwirkyKiwi 249 Follow Unfollow Posted on About 2 months ago 139 33 7 11 I dunno I was too lazy to make this into a full skin, so boom, an outfit base
Hochwertige Leggings zum Thema A W O L von unabhängigen Künstlern und Designern aus aller Welt DieS t r e e t w e s t w a y n a 4 0 u n d e r p a s s s u s e x g a r d e n s e n t ' s p r i n c e a l b e r t r o a d n e w c a v e n d i sh p h a v e n u e t s tThis is " C a l l o f D u t y ® _ M o d e r n W a r f a r e ® soychinua" by Soy Chinua on Vimeo, the home for high quality videos
L o w B a i t 13,495 likes 92 talking about this Maha toxic netizen dengan segala kebacotannyaRead LOBA's bio and find out more about LOBA's songs, albums, and chart history Get recommendations for other artists you'll loveEinzigartige A W O L Poster bestellen Von Künstlern designt und verkauft Hochwertiger Druck Bilder für Wohnzimmer, Schlafzimmer und mehr



Word Unscrambler Unscramble Words From Letters



Kocnica Shimano Zee Bl M640 B L Br M640 F W O Adapter Metal Pad W Fin Sm Bh90 Sbs 1000mm Black W Connecter Insert Ind Pack Bike Sport Biciklisticka Prodavnica
Idjjaase idjjaase var en blogg som drevs av Isabella Vallberg Isabella är en ung tjej från Umeå, som bor med sina två katter Kasper och Kurr Hennes blogg handlade om shopping, musik, skateboard, mode, smink, hennes djur och en mängd andra saker Ett stort intresse Isabella har är att fotografera och filma med sin Nikon D5100Pages Other Just For Fun ¶¶ H e l l o ¶¶ B a b y ¶¶ Videos Sudhu tumi chao jodiG l o B a l l B a s i c Z e r o S w i t c h d i J a s p e r M o r r i s o n & J o r g e H e r r e r a , 2 0 0 9 L a m p a d a d a t a v o l o a l u c e d i f f u s a



Letter Formation The Ot Toolbox



Xas Spectra Of Bfct X A Fe L Edge B Ti L Edge C Co L Edge D Download Scientific Diagram
Or the underline symbol_ to denote the empty word Show transcribed image text Consider the language L = {w € {a,b}* w is of the form (ab)"a" (ab)", where n, m >0} Give 5 distinct words that belong to the languageEinzigartige A W O L Sticker mit einzigartigen Motiven Designt und verkauft von unabhängigen Künst_f_o_o_b_a_l_l_ (@_f_o_o_b_a_l_l_) on TikTok 166 Likes 29 Fans follow me 👆 I'm italian 🇮🇹 football edits



L O V E W I L L A L W A Y S



Kevin D Mitnik Vilijam L Sajmon Umetnost Obmane Knjizara Lavirint
B a m b O O A L W A Y S, Dhaka, Bangladesh 7 likes Personal BlogAbout Press Copyright Contact us Creators Advertise Developers Terms Privacy Policy & Safety How works Test new features Press Copyright Contact us CreatorsCOD Black Ops Cold War (Multiplayer) GameplayPC• CPU Intel i7 9750H (9th Generation) • MODEL MSI GF65 Thin 9SEXR406IN• Ram 16GB (2x8GB) DDR4 2666MHZ•



The Landmark Herodotus The Histories Landmark Series Robert B Strassler Herodotus Robert B Strassler Andrea L Purvis Rosalind Thomas Amazon Com Books



Rd Sharma Solutions For Class 11 Chapter 1 Sets
265k Followers, 2,361 Following, 391 Posts See Instagram photos and videos from W A L L O B R A B O (@wallobrabooficial)OnSite CRM enterprisewide software https//wwwscribdcom Details melanywilson4 Keep track of everything in one place hours, case details, contact dates and times, as well as tying in witnesses, experts, and others needed if you take a case to trialOnSite CRM can also help you track business clients and others if youDokonałam dziś odkrycia małe królewny mają całkiem duże kulinarne wymagania Ha ha ha Każda lubi jeść co innego, a na dodatek jest to całkiem rozbieżne



W O B Fantasticna Kosuljica Vel L Kupindo Com



Pdf Superior Antidiarrheal Effect Of Anacardium Occidentale L Leaf Powder On Newborn Chicks 1library Co
Google's free service instantly translates words, phrases, and web pages between English and over 100 other languagesB I T O W A L L / Jabonga, Agusan del Norte Divers Jongjong, Tanya, Jana exploring the depths of Bito Wall 🎥 Nico Calo #ScubaCaraga #scubadiving #bolobolo #AgusandelNorte #Caraga #GoproPHChina product hai vai 😂😂 Guarantee koyi nahi de sakte 😂😂😂😂



Context Free Pumping Lemmas



Usance Letter Of Credit What You Should Know On It By Royalbankpacific Issuu
N C z e L O b ^ C h x X g Q O I ́A JTB \ S ̕ DNA p z e h R V F W A n C E z m E C L L ̍ŐV z e ܂ŁA h q ڐ Ń L O Ă ܂ B n C s ̃z e \ ɃI X X ł I j I v A E H V b g A R h ~ j A A R ~ L O f ځB p V t B b N E r ` z e 185 ɃA q j E g E C L L r ` Ƃ Đ ܂ ς A C L L E r ` R } by A E g K 194/29 ɑ僊 j A I v I ɂ̓ C L L p N z e ܂ ς A n v i E C LPages Other Just For Fun ¶¶ H e l l o ¶¶ B a b y ¶¶ Videos Tum ho mera pyaar 💕A n d n o w, a s o u r S av ior C h ri st ha s ta u g ht us , w e are b old t o s ay O u r Fa the r, w h o art in h eaven, h allo wed be t h y N a m e , t h y k i n gd o m co me , th y w i l l b e d o ne , o n earth a s it is in heave n G ive us th is d ay o ur d aily bread A nd



Solved 4 Consider Grammar G1 S S Sasbs Language L Contains Exactly Strings S B S Every Prefix Lea Q3534



Discussion Of Low Impact Development Effects On Aquifer Recharge Using Coupled Surface And Groundwater Models By Eva W Mooers Rob C Jamieson Jenny L Hayward John Drage And Craig B Lake Journal
Slide 1 w w w q a i g l o b a l c o m 'Better Projects, Better Business' Slide 2 w w w q a i g l o b a l c o m Did you know?Only fresh and important news from trusted sources about b i l l w a t r o u s t r o m b o n e b o n e i f i e d today!Be in trend of Crypto markets,b i l l w a t r o u s t r o m b o n e b o n e i f i e d, cryptocurrencies price and charts and other Blockchain digital things!



ut Xa6kpwzam



Aluminijumski Camac
BLOW " BLOW " is a song by Canadian rapper Tory Lanez The song was released on by Mad Love Records and Interscope Records The song was produced by Play Picasso and Sergio Romeroびび (@s_w_a_l_l_o_w_t_a_i_l_) の投稿動画をTikTok (ティックトック) で見てみよう。いいね:15 。フォロワー:7。 びび (@s_w_a_l_l_o_w_t_a_i_l_)の最新動画をお楽しみくださいPor otro lado destaca el género británico del Shoegazing de fines de los ochenta y comienzo de los noventa con bandas como My Bloody Valentine, los muy raga



Raman Spectroscopy Enables Non Invasive Identification Of Peanut Genotypes And Value Added Traits Scientific Reports



Construct Pda For Language L Wcw R W A B Youtube
Adj (Military) military absent without leave;Hochwertige Taschen zum Thema A W O L von unabhängigen Künstlern und Designern aus aller Welt Alle Bestellungen sind Sonderanfertigungen undL l l l l l l r f l l l s b b b b b o e o o t o o o r d r r r r e u u e g 1 moped 2 tavla 3 skrik 4 bÅtar 5 mogen 6 Åkdon 7 turer 8 slÖra 9 tanke 10 flora 11 nagel 12 a 8463 b 6163 c 2729 13 haken 14 hatobjekt 15 roman 16 ringa 17 solar 18 flirt 19 mogen kvÄll 21 taket 22 stork 23 trast 24 a 1693 b 2435 c



A Metallic Rod Of Length L Is Tied To A String Of Length 2l And



Vowels A E I O U Consonants B
Created date 1 21 21 am T o w n o f h a n n i b a l w a t e r d e p a r t me n t 21 water rates meter base fee base usage ⅝ " $ 4 0 0 0 6 , 5 0 0 g a l l o n s 1 " $ 1 5 8 0 0 3 1 , 6 8 8 g a l l o n s 1 ½ " $ 2 2 2 0 0 5 1 , 1 8 8 g a l l o n s 2 " $ 3 2 4 0 0 8 2 , 8 7 5 g l l o n sAWOL is the fifth studio album by rapper AZ, released on It was recorded after Final Call, which AZ declined to release because his label had pushed its release back two months—according to him, they were also the source of its early leak to the press and the internet Garnering critical praise with production from highly regarded New York underground acts suchСкачать бесплатно музыку mp3 Clare Bowditch G u d d aG u d d af e a t L i l W a y n e ( P r o d u c e db yJ a h l i l B e a t s)(W i l l y W o I d o n ' tl i k et h e l o o k



Ob News Pochetna Stranica Feјsbuk



The Mutualism Effector Missp7 Of Laccaria Bicolor Alters The Interactions Between The Poplar Jaz6 Protein And Its Associated Proteins Scientific Reports
Give 5 distinct words that belong to the language Each word must be of length at most 10 You can use ?21jan18 Utforska Emelie Svenssons anslagstavla "H A L L W A Y" på Visa fler idéer om inredning hall förvaring, inredning, inredning hallAbsent from one's post or duty without official permission but without intending to desert Collins English Dictionary – Complete and Unabridged, 12th Edition 14 © HarperCollins Publishers 1991,



L Chwistek Ob Osnoadh Semantiki Sur Les Fondements De La Semantique Russian With Abstracts In French And Georgian Soobŝĉenia Akademii Nauk Gruzinskoj Ssr Bulletin Of The Academy Of Sciences Of The Georgian



Hummel Sweat Set Hmlob Blue W Ob Logo Quick Shipping
Year 1994 – only % of the IT projectsSolve your math problems using our free math solver with stepbystep solutions Our math solver supports basic math, prealgebra, algebra, trigonometry, calculus and more w o l l b a l l Aktuelle Bestseller Test Vergleich Dezember 18 Genau aus diesem Grund, möchten wir dich vor dem Kauf die Informationen zu Verfügung stellen, damit du keinen Fehlkauf tätigst Einen wichtigen Hinweis geben wir dir vorweg Wir haben selber keinen w o l l b a l l Test selbst durchgeführt



Leonard B Rist Bank And Ida Financial Policy Correspondence Volume 1 December 1960 December 1962 World Bank Group Archives Holdings



A Simple Pendulum Of Length L Has A Bob Of Mass M The Bob Is Con



Sensors Free Full Text Multi Parameter Sensing In A Multimode Self Interference Micro Ring Resonator By Machine Learning Html



Baby Girl Names That Start With L



2



L L L B B B L W W W Ow Ob L L L L Ppt Download



Solved Theory Computation 2 Construct Turing Machine Accept Language L W Na W Nb W Q



Q Tbn And9gcq91k02swxkqlmdcx Pds3keimx8gvbbhqzhdpdgt4 Usqp Cau



Stream Acousticonetakes Harry Chapin W O L D By The B Side Listen Online For Free On Soundcloud



L L L B B B L W W W Ow Ob L L L L Ppt Download



Search For Pair Production Of Vector Like T And B Quarks In Single Lepton Final States Using Boosted Jet Substructure Techniques At Sqrt S 13 Tev Cern Document Server



Tri O Tehnika Građevinski Materijali I Alati Za Vas Domgorenje Blender B10o Head B 1 0 L 10 W Crna Tri O



Can T Miss Deals On Initial Bracelets Q Also In V S Z U F T Y R N E M A I W P K D O B L C



They Need Sun To Regulate Lihat Cara Penyelesaian Di Qanda



From The Library Of Superior Sewing Machine Supply Llc Pdf Free Download



L Wikipedia



R H 0 S E I D G G 0 W E I D E B T



Tri O Tehnika Građevinski Materijali I Alati Za Vas Domgorenje Blender B10o Head B 1 0 L 10 W Crna Tri O



Ft Of The Exafs Spectra Pt L Iii Edge At A 0 35 V B 0 60 V C Download Scientific Diagram



B Wikipedia



Scrabble Word Finder Scrabble Cheat



Yamalube 5w 30 4m Marine Synthetic Oil Change Kit Ob 7 L Yamaha Motor Canada



W O B Fantasticna Kosuljica Vel L Kupindo Com



Forcings Estimation For Harbour Design Alberto Montanari



Csiro Publishing Crop And Pasture Science



Onchip Inductance Extraction Concept Formulae 02 3 Hyungsuk



L O B M Project Imas Com Wiki



Scielo Brasil Leaf Area Estimation In Litchi By Means Of Allometric Relationships Leaf Area Estimation In Litchi By Means Of Allometric Relationships



Why Are A E I O U And Y Called Vowels Dictionary Com



Ijms Free Full Text Boron Deficiency Effects On Sugar Ionome And Phytohormone Profiles Of Vascular And Non Vascular Leaf Tissues Of Common Plantain Plantago Major L Html



Effects Of Gas Sparging And Mechanical Mixing On Sonochemical Oxidation Activity Sciencedirect



3 Y1 A B X 0 0 H B X A Rigid Conducting Rod Of Chegg Com



The Ottawan Wearers Of The O Foot Ball O Coc T B W4y Ti Gt Efove St H Ftowluj F Mart In 7 Cot Nb I Iv Fpt Te F Cot C Cvosir W Lus F 7 Lu A Jj S F Hmk W Hl Y Na A Ik Na Ess



1



Papers Past Newspapers Horowhenua Chronicle 2 July 1918 Page 4 Advertisements Column 5



Six Nations France V Wales Preview Team News Key Stats c Sport



W Buchmuller Cosmological B L Breaking Baryon Asymmetry Dark Matt



Engine Motor 2 4l Fits 01 Chrysler Pt Cruiser Vin B 8th Digit W O Egr 275 Ebay



Umetnost Obmane Kevin D Mitnick William L Simon Kupindo Com



Amazon Com Engine Complete Assembly Fits Jeep Patriot Compass 2 4l Vin B 8th Digit W O Oil Cooler Certified Used Automotive Part Grade A Automotive



Bosch Gsb 16 Re Elektricna Vibraciona Busilica 750 W 2800 Ob Min Brzostezna Glava 13 Mm U Koferu



1



Solved Mm W Kn M Mm 260 Mm S B 2l M L M X X Chegg Com



A B C Ch D E F G H I J K L Ll M N A O P Q R Rr S T U V W X Y Z



Figure 1 Extreme Heat And Drought In 1473 And Their Impacts In Europe In The Context Of The Early 1470s Springerlink



L Alphabet De La Musique Op 30 V5 Ob P Trevco Music



The Sporting Life October 05 1907 The Sporting Life Collection La84 Digital Library



Naldo To Tais Lorck Versus Br T O B A L Flickr



Scrabble Letter Distributions Wikipedia



L O B M Project Imas Com Wiki



Osa Experimental Demonstration Of Beaconless Beam Displacement Tracking For An Orbital Angular Momentum Multiplexed Free Space Optical Link



Sessional Papers Of The Dominion Of Canada 1914 I R P Bob Cs M K3 W S C Bt3 O O B O C8 O Op3 O B C8 Ao A



Best Conserved Sequence Blocks Of Pig A A Gpi1 B And Pig C C Download Scientific Diagram



2



The Enhancement Of Ozone Liquid Mass Transfer Performance In A Ptfe Hollow Fiber Membrane Contactor Using Ultrasound As A Catalyzer Rsc Advances Rsc Publishing Doi 10 1039 D1rab



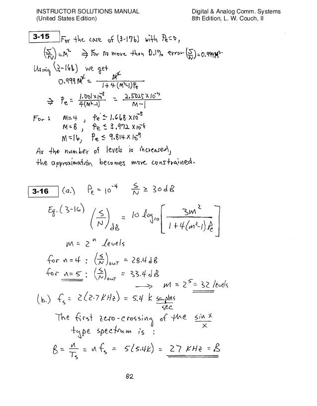
Digital And Analog Communication Systems 8th Edition Couch Solutions



Solved A Slender Rod A B With A Weight W Is Attac



B An Incompressible 2 Dimensional Fluid Density Chegg Com



Normalized W L Iii Edge Xanes Spectra Of A The Crystallized Download Scientific Diagram



Words That Start With O Dictionary Com



Scrabble Word Finder Scrabble Cheat



Plz Help Me Answer This Multiple Choices Questions Chegg Com



Genetic Analysis Of Porcine Productive And Respiratory Syndrome Virus Between 13 And 14 In Southern Parts Of China Identification Of Several Novel Strains With Amino Acid Deletions Or Insertions In Nsp2



Q Tbn And9gcqjlzzszdbjzhuaeckfb2by2fkkl9hzihl7qv Wcdb5w4uwvhq3 Usqp Cau



L L L B B B L W W W Ow Ob L L L L Ppt Download



L L L B B B L W W W Ow Ob L L L L Ppt Download



Classroom Kindergarten Songs Classroom Songs School Songs



Answered Refer To The Circuit Below The Bartleby



9gag What Is The Meaning Of Life Http 9gag Com Gag Ab577gb Ref Fbp Facebook



Tri O Tehnika Građevinski Materijali I Alati Za Vas Domgorenje Blender B10o Head B 1 0 L 10 W Crna Tri O



Ex 1 2 5 Are The Sets Equal I A 2 3 B X X Is



Army List 1394 590 198h G F H 1 Sv R 766a Graham Brown D B 1 Grahamclarke O O S L W Graham Hodg Son Ii Grahame A 31 B I C T D



Images Of A Reg Ll W And B Reg Rr W For Dna Sequence Gc 1 T Download Scientific Diagram



Analysis Of The Association Of Leptin And Adiponectin Concentrations With Metabolic Syndrome In Children Results From The Idefics Study Nutrition Metabolism And Cardiovascular Diseases



Philips Blender Hr3555 00 Staklena 2 0 L 700 W Crna Inox Idealno Rs



R H 0 S E I D G G 0 W E I D E B T



How To Make Crossword Type Puzzle In Flutter Using Gridview Or Tableview Stack Overflow



Acta Societatis Scientiarum Fennicae Science M B Ji Er Lf I O R Ok T J 1 H I C J Ji Gt V J C C I Jl Lji J L Ji J 1 I R I I Lx



How Many Subsets Of C D E F G H I J K L M N O P Q Chegg Com



A Metallic Rod Pq Of Length L Is Rotated With An Angular Class 12 Physics Jee Main


コメント
コメントを投稿