Jbg Ìq q V[g wA 239233
Questions To Homework 5 Differential Geometry I Math 622 Docsity
Jbg Ìq q V[g wA
Jbg Ìq q V[g wA-


Solved Review 2 1 For Each Of The Following Type Defini Chegg Com


Form 1099 G Certain Government Payments Definition


Q Wikipedia


13 4 Entropy Changes In Reversible Processes Chemistry Libretexts


Solved If A W H E A T And U A B C D E F G Chegg Com


An Introduction To Airline Inventory And Fare Construction


14年新人教a版数学必修二 3 2 1 直线的点斜式方程同步辅导与检测课件下载 Word模板 爱问共享资料


Solved All 26 Of The Letters Of The English Alphabet A Chegg Com


Solved If A T U X E D O S And U A B C D E Chegg Com


Solved 19 For A Particular Process Q 14 Kj And W 17 Chegg Com


Electric Potential Energy Potential Difference Physics


Solved 14 Working With Truth Values Of Statements Suppo Chegg Com


Solved Recall That We Say A Graph G V E Is Fully Con Chegg Com


If You Re Looking Fo Something To Do Jean Pierre De Villiers Facebook


Questions To Homework 5 Differential Geometry I Math 622 Docsity


Il Socrate Immaginario V Vm Mil Iy Voi Iri V Nlh I 4 O S Wlnoca Iaa Cx Tl Im Gv Iooa Bxju I R 33e Lt T Jttxt R 3ft Stzz Se Ax B A


Solved Review 2 1 For Each Of The Following Type Defini Chegg Com


特色专项训练优化方案 15届高考物理二轮专题精炼 第1篇专题四选修3 5巧练下载 Word模板 爱问共享资料


Pdf Some Parameters On Neighborhood Number Of A Graph


Lorentz Force Wikipedia


Pdf Real World Aspects Of Secure Channels Fragmentation Causality And Forward Security Semantic Scholar


Gibbs Free Energy


Acm Digital Library Communications Of The Acm


Solved If A M I Cor O W A V E And U A B C Chegg Com


Temperature Change And Heat Capacity Physics


Letter Earrings Gold Alphabet Earrings A B C D E F Etsy


Solved In C Language Start With Include Int Main Heat Chegg Com


Albuquerque Isotopes No You Still Can T Try Out For The Isotopes But If You Were A Member Of Team What Would Your Name And Position Be T Co Nuqpxtcsj2


Q Wikipedia


Solved Ifa V O G U R T And U A B C D E F G H Chegg Com


Electric Potential At A Point In Space Video Khan Academy


G Wiktionary


Qanon Wikipedia


The Gibbs Free Energy And Cell Voltage


B C D E F G H I J K L M N O P Q R S T U V W X Y Z Quotes How To Plan Letters


Kronecker Product Wikipedia


Pin By Don Alexander On Music Teaching Concert Band Music Concert Band Music Jokes


Computer Scientist Vs Software Engineer By Paulo Taylor Medium


Cbs News 8 Happy Star Wars Day What Is Your Star Wars Name


C Graph Theory Sample Cheat Sheet By Hackin7 Download Free From Cheatography Cheatography Com Cheat Sheets For Every Occasion


Q Wikipedia


Fra Diavolo Opera In Three Acts The Eoyal Edition Fi Diavolo 140


Solved 6 Given The Universal Set U A B C D E F G H Chegg Com


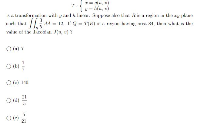
Solved Si G U V Y H U V Is A Transformation With G Chegg Com


Army List Co 75 Od Cc 0 Od M Oq Ts Gt 5 Gq Co 3 To 4 H Xi P S E 13 T3 73 73


Doc Kurilo Article Krishna R A M Bhattarai Academia Edu


G Wikipedia


Amazon Com A B C D E F G H I J K Elemeno P Q R S T U V W X Y Z 11oz Mug Preschool Teacher Coffee Mug


Q Wikipedia


Pdf Real World Aspects Of Secure Channels Fragmentation Causality And Forward Security Semantic Scholar


Voiced Vs Voiceless Consonants


Midterm Review Questions Ans Midterm Review Questions Question The Heat Studocu


El Modena Hs Updated Registration 21 Information Make Up Date 8 13 From 9am 11am Added For Those Who Cannot Attend Their Scheduled In Person Date Parents Please Visit T Co Lacxsvmvu0 To


Solved 7 Let G V E Be A Graph With N Vertices And Q Chegg Com


2 4 G G B P St M G High Resolution Stock Photography And Images Alamy


Padawanplanner Realizing Contested Logistics Across All Domains Ftw


コメント
コメントを投稿